Упр.2.20 ГДЗ Мордкович 9 класс (Алгебра)
Решение #1
Решение #2
Рассмотрим вариант решения задания из учебника Мордкович 9 класс, Мнемозина:
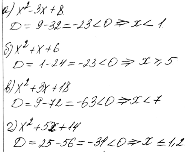
2.20.а) (х - 1)(х2 -3x+8)<0;
б) (х + 5)(х2 + x+6)>=0;
в) (х - 7)(-х2 -3x-18)>0;
г) (х + 1,2)(х2 +5x+14)<=0.
Отправить другу:
*размещая тексты в комментариях ниже, вы автоматически соглашаетесь с пользовательским соглашением
