Упр.2.25 ГДЗ Мордкович 9 класс (Алгебра)
Решение #1
Решение #2

Рассмотрим вариант решения задания из учебника Мордкович 9 класс, Мнемозина:
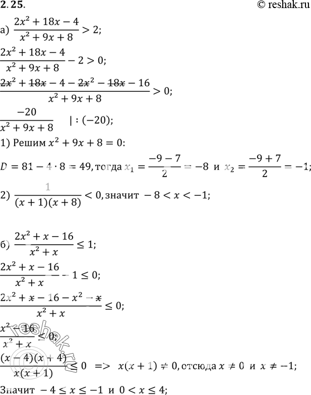
Решите неравенство:
2.25.
*размещая тексты в комментариях ниже, вы автоматически соглашаетесь с пользовательским соглашением