Упр.14.1 ГДЗ Мордкович 9 класс (Алгебра)
Решение #1
Решение #2

Рассмотрим вариант решения задания из учебника Мордкович 9 класс, Мнемозина:
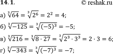
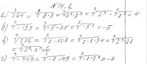
14.1.Вычислите:
a) корень 3 степени 64; б) корень 3 степени-125; в) корень 3 степени 216; г) корень 3 степени -343.
*размещая тексты в комментариях ниже, вы автоматически соглашаетесь с пользовательским соглашением