Упр.14.5 ГДЗ Мордкович 9 класс (Алгебра)
Решение #1
Решение #2

Рассмотрим вариант решения задания из учебника Мордкович 9 класс, Мнемозина:
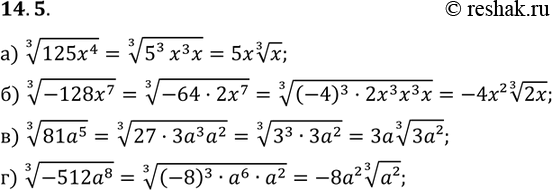
14.5. а) корень 3 степени 125x4; б) корень 3 степени -128x7; в) корень 3 степени 81a5; г) корень 3 степени -512a8.
*размещая тексты в комментариях ниже, вы автоматически соглашаетесь с пользовательским соглашением