Упр.14.7 ГДЗ Мордкович 9 класс (Алгебра)
Решение #1
Решение #2

Рассмотрим вариант решения задания из учебника Мордкович 9 класс, Мнемозина:
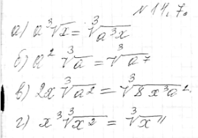
14.7 а) a корень 3 степени x; б) a2 корень 3 степени a; в) 2x корень 3 степени a2; г) x3 корень 3 степени x2.
*размещая тексты в комментариях ниже, вы автоматически соглашаетесь с пользовательским соглашением